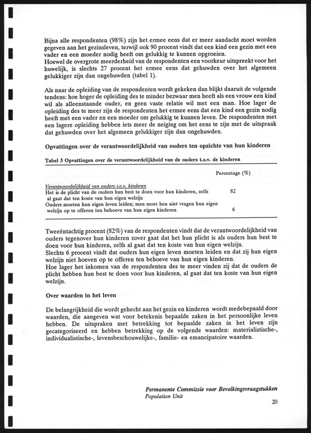
Click on image below to switch to zoomable version
Opvattingen van de bevolking over bevolkingsvraagstukken en bevolkingsvraagstukken en bevolkingsbeleid - Page 20